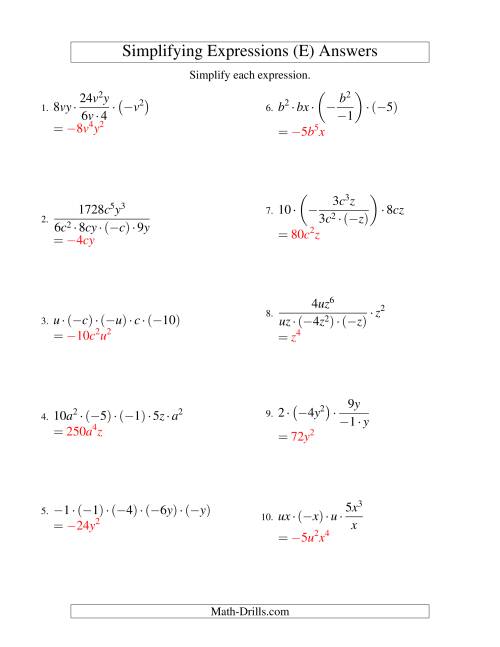
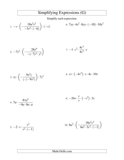
Simplifying Fractions With Variables Worksheet

Simplifying Fractions With Variables Worksheet. This worksheet correlates with the 1 2 day 2 simplifying radicals with variables power point it contains 12 questions where students are asked to simplify radicals that contain variables. Reduce the fraction containing only numbers:

Fractions With Variables / Simplifying Fractions With
Fractions With Variables / Simplifying Fractions With from erika-slaughter-blog.blogspot.com

We present examples on how to simplify complex fractions including variables along with their detailed solutions. Below are six versions of our grade 6 math worksheet on simplifying fractions. Many algebraic expressions contain radicals.

Complex Fractions Worksheet New Plex Numbers Worksheet Balancing.


We will first find the lcd of the small fractions, and multiply each term by this lcd so we can clear the small fractions and simplify. Answers to simplifying complex fractions 1) x3 100 2) 1 u 3) yx + 4y 4 4) n2 − 8n + 16 m3 5) x2 − 10x + 25 −x2 − 9x + 35 6) 9x2 − 18x + 9 x2 − 2x + 82 7) a3 + 2b + 6 a3b + 3a3 8) u4 2v3 + v2u2 9) 20x3 − 1125x 720 − 36x2 10) 4x2 + 10x + 6 3x3 − 12x2 The first sheet in the section is supported and the highest common factor is already provided.

Free Worksheets For Simplifying Algebraic Expressions With This Worksheet Generator You Can Make Printable Worksheets For Simplifying Variable Expressions For Pre Algebra And Algebra 1 Courses.


For easy complex fractions containing variables inverse multiplication is a good choice but complex fractions with multiple variable terms in. Discover learning games, guided lessons, and other interactive activities for children. An algebraic expression is an expression contains integers, variables, and math operations such as addition, subtraction, multiplication, division, etc.

Square Roots With Variables (Simplifying Math) | Radical Expressions, Simplifying Radical Expressions, Simplifying Radicals From Www.pinterest.com Using The Algebraic Identity A B2 A2 2Ab B2 On The Right Side X2 1×2 2.


Rewrite the fraction using a division symbol 3. Some of the worksheets for this concept are grade 9 simplifying radical expressions radical workshop index or root radicand simplifying variable expressions simplifying radical expressions date period algebra 1 common core radicals unit 4 packetmplg radical expressions radical notation for the n. In an expression, we can combine “like” terms.

Simplifying Fractions With Variables Displaying Top 8 Worksheets Found For This Concept.


Algebraic fractions materials required for examination items included with question papers ruler graduated in centimetres and nil millimetres protractor compasses pen. Simplifying algebraic fractions involving quadratics when the fractions involve a quadratic you first need to factorise the quadratic in order to simplify. Tracing paper may be used.

Free Printable Worksheets With Answer Keys On Radicals Square Roots Ie No Variables Includes Visual Aides Model Problems Exploratory Activities Practice Problems And An Online Component.


Add and subtract fractions with variables. Simplifying variable expressions with exponents worksheets. Cube roots fourth roots fifth roots etc.